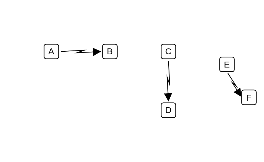
Uml UML 2.5 Dependencies
Activity
- Preview
- Usage
- Definition

import { Activity } from '@dinghy/diagrams/dependenciesUml25'
<Activity/>
{
_style: {
dependency: 'shape=mxgraph.lean_mapping.electronic_info_flow_edge;html=1;',
},
}
Association / Connector / Instance Specification / Property / Connector End
- Preview
- Usage
- Definition
import { AssociationConnectorInstanceSpecificationPropertyConnectorEnd } from '@dinghy/diagrams/dependenciesUml25'
<AssociationConnectorInstanceSpecificationPropertyConnectorEnd/>
{
_style: {
dependency: 'endArrow=none;startArrow=none;endFill=0;startFill=0;endSize=8;html=1;verticalAlign=bottom;labelBackgroundColor=none;strokeWidth=3;',
},
}
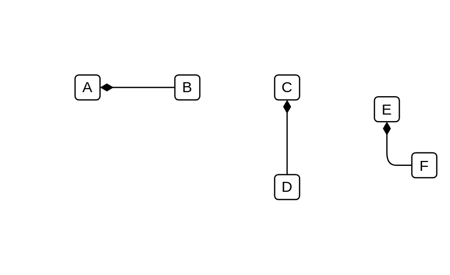
Association / Connector / Instance Specification / Property / Connector End / Composite Association
- Preview
- Usage
- Definition

import { AssociationConnectorInstanceSpecificationPropertyConnectorEndCompositeAssociation } from '@dinghy/diagrams/dependenciesUml25'
<AssociationConnectorInstanceSpecificationPropertyConnectorEndCompositeAssociation/>
{
_style: {
dependency: 'endArrow=none;startArrow=diamondThin;endFill=0;startFill=1;html=1;verticalAlign=bottom;labelBackgroundColor=none;strokeWidth=1;startSize=8;endSize=8;',
},
}
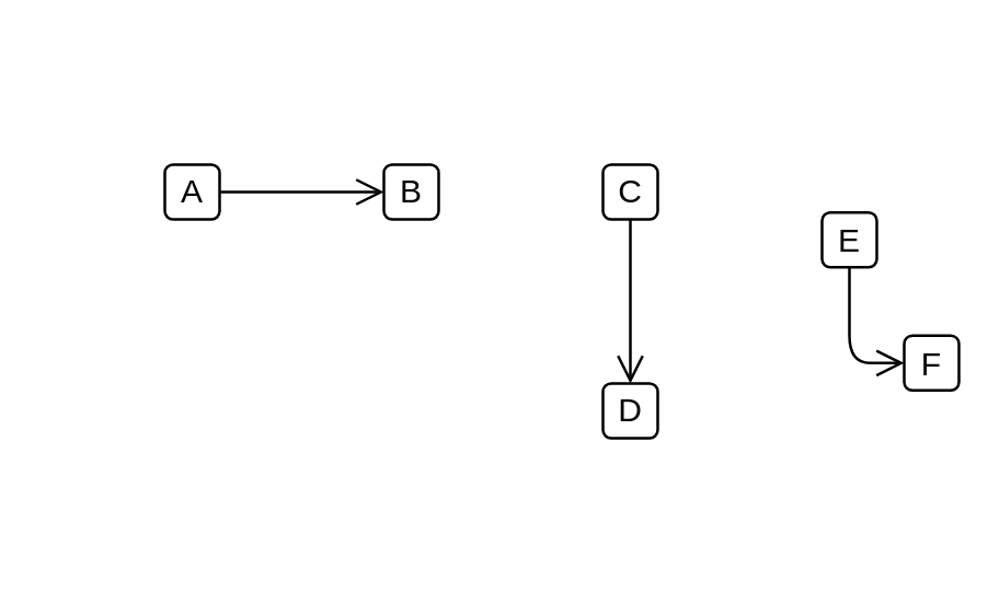
Association / Connector / Instance Specification / Property / Connector End / Navigability notation
- Preview
- Usage
- Definition

import { AssociationConnectorInstanceSpecificationPropertyConnectorEndNavigabilityNotation } from '@dinghy/diagrams/dependenciesUml25'
<AssociationConnectorInstanceSpecificationPropertyConnectorEndNavigabilityNotation/>
{
_style: {
dependency: 'endArrow=open;startArrow=none;endFill=0;startFill=0;endSize=8;html=1;verticalAlign=bottom;labelBackgroundColor=none;strokeWidth=1;',
},
}
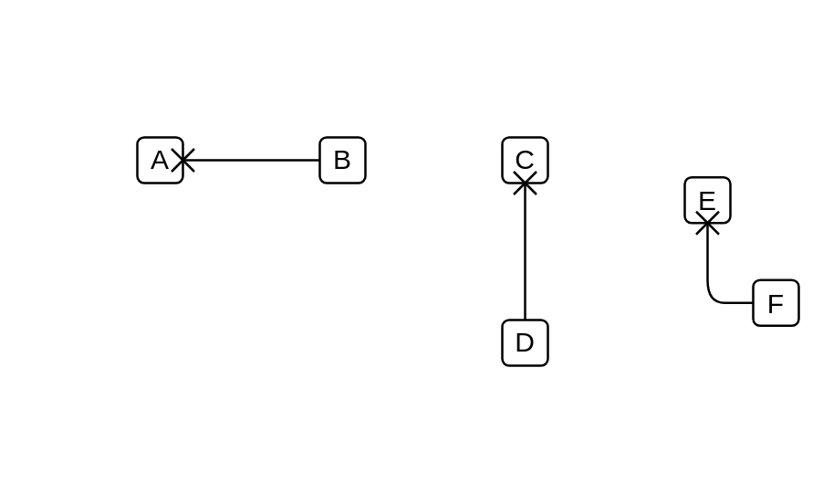
Association / Connector / Instance Specification / Property / Connector End / Non-Navigability notation
- Preview
- Usage
- Definition

import { AssociationConnectorInstanceSpecificationPropertyConnectorEndNonNavigabilityNotation } from '@dinghy/diagrams/dependenciesUml25'
<AssociationConnectorInstanceSpecificationPropertyConnectorEndNonNavigabilityNotation/>
{
_style: {
dependency: 'endArrow=none;startArrow=sysMLx;endFill=0;startFill=0;html=1;verticalAlign=bottom;labelBackgroundColor=none;strokeWidth=1;startSize=8;',
},
}
Association / Connector / Instance Specification / Property / Connector End / Shared Association
- Preview
- Usage
- Definition

import { AssociationConnectorInstanceSpecificationPropertyConnectorEndSharedAssociation } from '@dinghy/diagrams/dependenciesUml25'
<AssociationConnectorInstanceSpecificationPropertyConnectorEndSharedAssociation/>
{
_style: {
dependency: 'endArrow=none;startArrow=diamondThin;endFill=0;startFill=0;html=1;verticalAlign=bottom;labelBackgroundColor=none;strokeWidth=1;startSize=8;endSize=8;',
},
}
Collaboration Use
- Preview
- Usage
- Definition

import { CollaborationUse } from '@dinghy/diagrams/dependenciesUml25'
<CollaborationUse/>
{
_style: {
dependency: 'html=1;verticalAlign=bottom;labelBackgroundColor=none;endArrow=open;endFill=0;dashed=1;',
},
}
Constraint
- Preview
- Usage
- Definition
import { Constraint } from '@dinghy/diagrams/dependenciesUml25'
<Constraint/>
{
_style: {
dependency: 'endArrow=none;startArrow=none;endFill=0;startFill=0;endSize=8;html=1;verticalAlign=bottom;dashed=1;labelBackgroundColor=none;dashPattern=10 10;',
},
}
Control Flow
- Preview
- Usage
- Definition

import { ControlFlow } from '@dinghy/diagrams/dependenciesUml25'
<ControlFlow/>
{
_style: {
dependency: 'html=1;verticalAlign=top;labelBackgroundColor=none;endArrow=open;endFill=0;',
},
}
Element / Package Merge / Package Import, Substitution
- Preview
- Usage
- Definition

import { ElementPackageMergePackageImportSubstitution } from '@dinghy/diagrams/dependenciesUml25'
<ElementPackageMergePackageImportSubstitution/>
{
_style: {
dependency: 'endArrow=open;startArrow=none;endFill=0;startFill=0;endSize=8;html=1;verticalAlign=bottom;dashed=1;labelBackgroundColor=none;',
},
}
Inner class
- Preview
- Usage
- Definition

import { InnerClass } from '@dinghy/diagrams/dependenciesUml25'
<InnerClass/>
{
_style: {
dependency: 'endArrow=circlePlus;startArrow=none;endFill=0;startFill=0;endSize=8;html=1;labelBackgroundColor=none;',
},
}
Message
- Preview
- Usage
- Definition

import { Message } from '@dinghy/diagrams/dependenciesUml25'
<Message/>
{
_style: {
dependency: 'html=1;verticalAlign=bottom;labelBackgroundColor=none;endArrow=open;endFill=0;',
},
}
Message, reply
- Preview
- Usage
- Definition

import { MessageReply } from '@dinghy/diagrams/dependenciesUml25'
<MessageReply/>
{
_style: {
dependency: 'html=1;verticalAlign=bottom;labelBackgroundColor=none;endArrow=block;endFill=1;dashed=1;',
},
}
Message, synchronous call
- Preview
- Usage
- Definition

import { MessageSynchronousCall } from '@dinghy/diagrams/dependenciesUml25'
<MessageSynchronousCall/>
{
_style: {
dependency: 'html=1;verticalAlign=bottom;labelBackgroundColor=none;endArrow=block;endFill=1;',
},
}
Provided Interface
- Preview
- Usage
- Definition

import { ProvidedInterface } from '@dinghy/diagrams/dependenciesUml25'
<ProvidedInterface/>
{
_style: {
dependency: 'html=1;verticalAlign=bottom;labelBackgroundColor=none;endArrow=oval;endFill=0;endSize=8;',
},
}
Realization
- Preview
- Usage
- Definition

import { Realization } from '@dinghy/diagrams/dependenciesUml25'
<Realization/>
{
_style: {
dependency: 'endArrow=block;startArrow=none;endFill=0;startFill=0;endSize=8;html=1;verticalAlign=bottom;dashed=1;labelBackgroundColor=none;',
},
}
Required Interface
- Preview
- Usage
- Definition

import { RequiredInterface } from '@dinghy/diagrams/dependenciesUml25'
<RequiredInterface/>
{
_style: {
dependency: 'html=1;verticalAlign=bottom;labelBackgroundColor=none;endArrow=halfCircle;endFill=0;endSize=2;',
},
}