Uml UML Dependencies
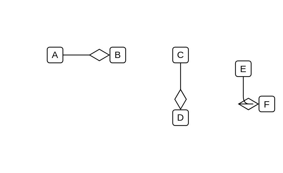
Aggregation 2
- Preview
- Usage
- Definition

import { Aggregation2 } from '@dinghy/diagrams/dependenciesUml'
<Aggregation2/>
{
_style: {
dependency: 'endArrow=diamondThin;endFill=0;endSize=24;html=1;',
},
}
Association 2
- Preview
- Usage
- Definition

import { Association2 } from '@dinghy/diagrams/dependenciesUml'
<Association2/>
{
_style: {
dependency: 'endArrow=block;startArrow=block;endFill=1;startFill=1;html=1;',
},
}
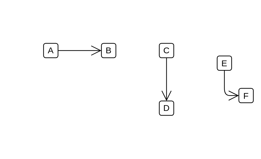
Association 3
- Preview
- Usage
- Definition

import { Association3 } from '@dinghy/diagrams/dependenciesUml'
<Association3/>
{
_style: {
dependency: 'endArrow=open;endFill=1;endSize=12;html=1;',
},
}
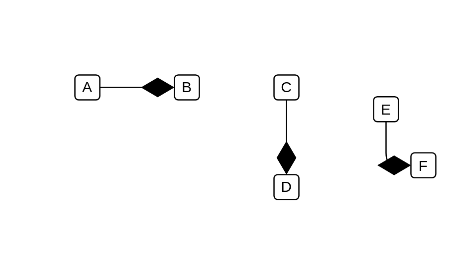
Composition 2
- Preview
- Usage
- Definition

import { Composition2 } from '@dinghy/diagrams/dependenciesUml'
<Composition2/>
{
_style: {
dependency: 'endArrow=diamondThin;endFill=1;endSize=24;html=1;',
},
}
Dependency Relationship
- Preview
- Usage
- Definition

import { DependencyRelationship } from '@dinghy/diagrams/dependenciesUml'
<DependencyRelationship/>
{
_style: {
dependency: 'endArrow=open;endSize=12;dashed=1;html=1;',
},
}
Found Message 1
- Preview
- Usage
- Definition

import { FoundMessage1 } from '@dinghy/diagrams/dependenciesUml'
<FoundMessage1/>
{
_style: {
dependency: 'html=1;verticalAlign=bottom;startArrow=oval;startFill=1;endArrow=block;startSize=8;curved=0;rounded=0;',
},
}
Found Message 2
- Preview
- Usage
- Definition

import { FoundMessage2 } from '@dinghy/diagrams/dependenciesUml'
<FoundMessage2/>
{
_style: {
dependency: 'html=1;verticalAlign=bottom;startArrow=circle;startFill=1;endArrow=open;startSize=6;endSize=8;curved=0;rounded=0;',
},
}
Generalization
- Preview
- Usage
- Definition

import { Generalization } from '@dinghy/diagrams/dependenciesUml'
<Generalization/>
{
_style: {
dependency: 'endArrow=block;endSize=16;endFill=0;html=1;',
},
}
Implementation
- Preview
- Usage
- Definition

import { Implementation } from '@dinghy/diagrams/dependenciesUml'
<Implementation/>
{
_style: {
dependency: 'endArrow=block;dashed=1;endFill=0;endSize=12;html=1;',
},
}
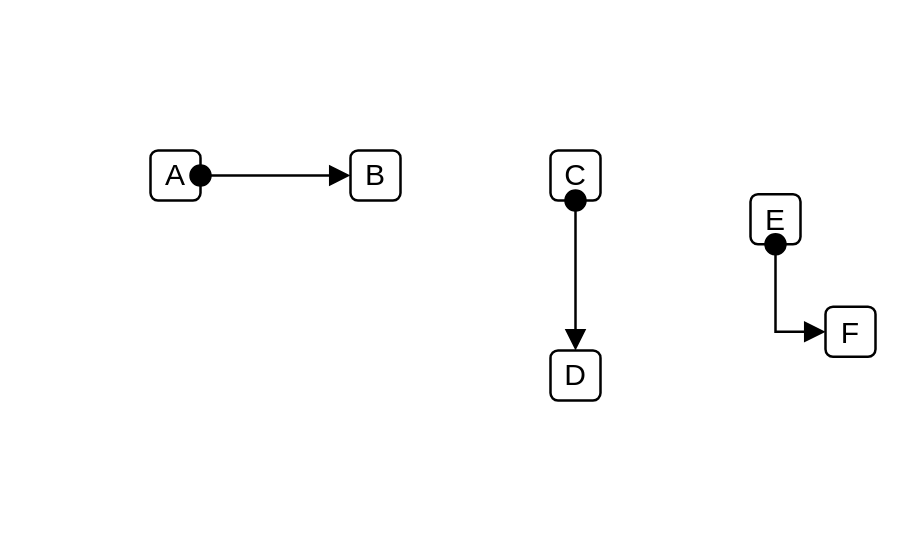
Inner Class
- Preview
- Usage
- Definition

import { InnerClass } from '@dinghy/diagrams/dependenciesUml'
<InnerClass/>
{
_style: {
dependency: 'endArrow=open;startArrow=circlePlus;endFill=0;startFill=0;endSize=8;html=1;',
},
}
Message
- Preview
- Usage
- Definition
import { Message } from '@dinghy/diagrams/dependenciesUml'
<Message/>
{
_style: {
dependency: 'html=1;verticalAlign=bottom;endArrow=block;curved=0;rounded=0;',
},
}
Terminate
- Preview
- Usage
- Definition

import { Terminate } from '@dinghy/diagrams/dependenciesUml'
<Terminate/>
{
_style: {
dependency: 'endArrow=open;startArrow=cross;endFill=0;startFill=0;endSize=8;startSize=10;html=1;',
},
}