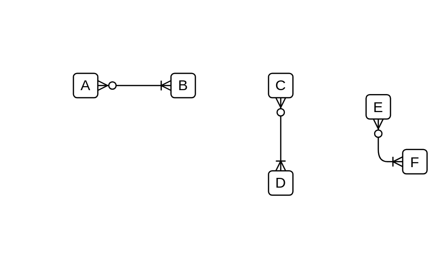
Software Entity Relation Dependencies
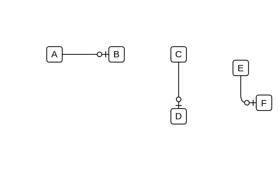
0 to 1
- Preview
- Usage
- Definition

import { Component0To1 } from '@dinghy/diagrams/dependenciesEntityRelation'
<Component0To1/>
{
_style: {
dependency: 'edgeStyle=entityRelationEdgeStyle;fontSize=12;html=1;endArrow=ERzeroToOne;endFill=1;',
},
}
0 to Many Optional
- Preview
- Usage
- Definition

import { Component0ToManyOptional } from '@dinghy/diagrams/dependenciesEntityRelation'
<Component0ToManyOptional/>
{
_style: {
dependency: 'edgeStyle=entityRelationEdgeStyle;fontSize=12;html=1;endArrow=ERzeroToMany;endFill=1;',
},
}
1
- Preview
- Usage
- Definition
import { Component1 } from '@dinghy/diagrams/dependenciesEntityRelation'
<Component1/>
{
_style: {
dependency: 'edgeStyle=entityRelationEdgeStyle;fontSize=12;html=1;endArrow=ERone;endFill=1;',
},
}
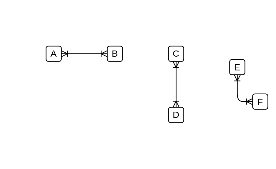
1 Mandatory
- Preview
- Usage
- Definition
import { Component1Mandatory } from '@dinghy/diagrams/dependenciesEntityRelation'
<Component1Mandatory/>
{
_style: {
dependency: 'edgeStyle=entityRelationEdgeStyle;fontSize=12;html=1;endArrow=ERmandOne;',
},
}
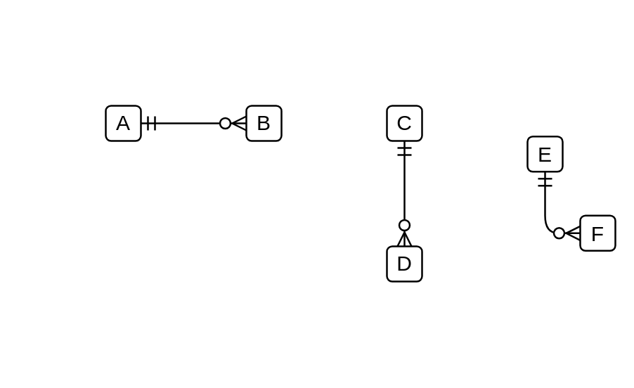
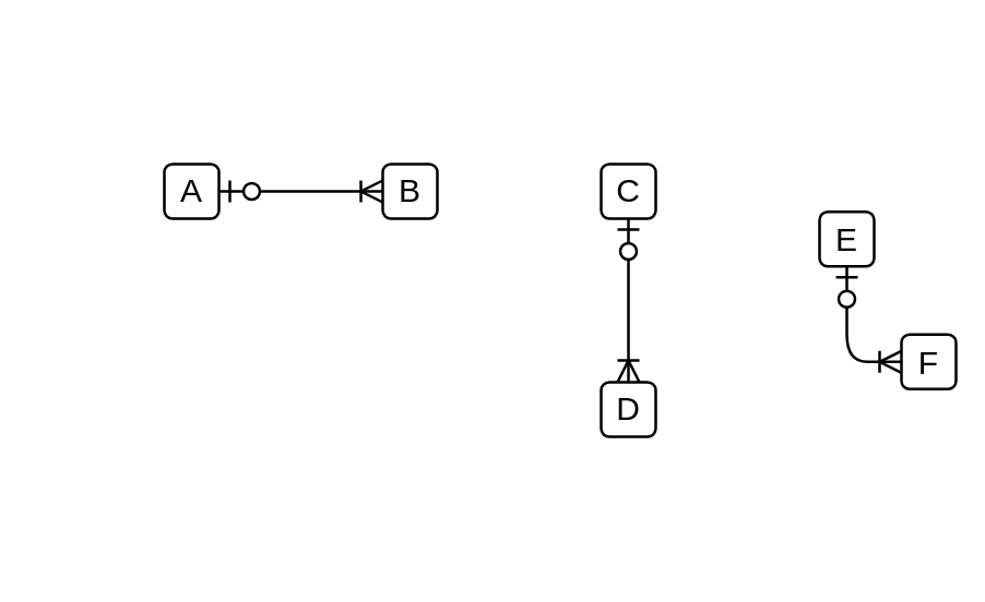
1 Mandatory to 1 Optional
- Preview
- Usage
- Definition

import { Component1MandatoryTo1Optional } from '@dinghy/diagrams/dependenciesEntityRelation'
<Component1MandatoryTo1Optional/>
{
_style: {
dependency: 'edgeStyle=entityRelationEdgeStyle;fontSize=12;html=1;endArrow=ERzeroToOne;startArrow=ERmandOne;',
},
}
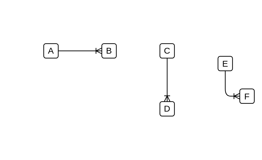
1 Mandatory to Many Mandatory
- Preview
- Usage
- Definition

import { Component1MandatoryToManyMandatory } from '@dinghy/diagrams/dependenciesEntityRelation'
<Component1MandatoryToManyMandatory/>
{
_style: {
dependency: 'edgeStyle=entityRelationEdgeStyle;fontSize=12;html=1;endArrow=ERoneToMany;startArrow=ERmandOne;',
},
}
1 Mandatory to Many Optional
- Preview
- Usage
- Definition

import { Component1MandatoryToManyOptional } from '@dinghy/diagrams/dependenciesEntityRelation'
<Component1MandatoryToManyOptional/>
{
_style: {
dependency: 'edgeStyle=entityRelationEdgeStyle;fontSize=12;html=1;endArrow=ERzeroToMany;startArrow=ERmandOne;',
},
}
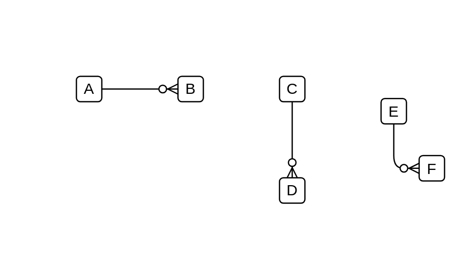
1 Optional to Many Mandatory
- Preview
- Usage
- Definition

import { Component1OptionalToManyMandatory } from '@dinghy/diagrams/dependenciesEntityRelation'
<Component1OptionalToManyMandatory/>
{
_style: {
dependency: 'edgeStyle=entityRelationEdgeStyle;fontSize=12;html=1;endArrow=ERoneToMany;startArrow=ERzeroToOne;',
},
}
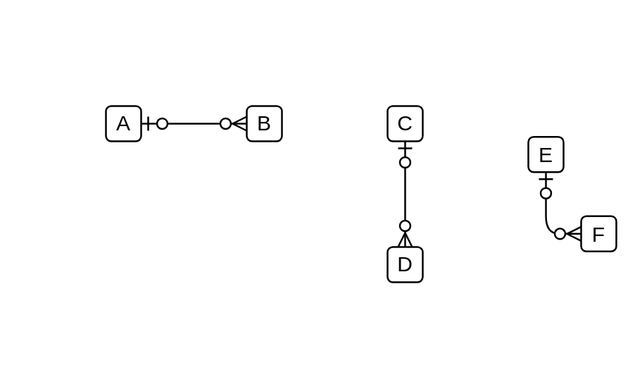
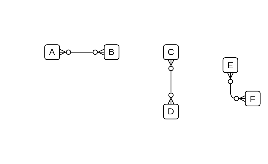
1 Optional to Many Optional
- Preview
- Usage
- Definition

import { Component1OptionalToManyOptional } from '@dinghy/diagrams/dependenciesEntityRelation'
<Component1OptionalToManyOptional/>
{
_style: {
dependency: 'edgeStyle=entityRelationEdgeStyle;fontSize=12;html=1;endArrow=ERzeroToMany;startArrow=ERzeroToOne;',
},
}
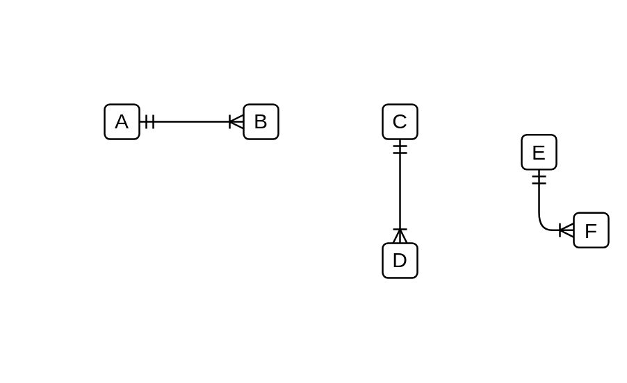
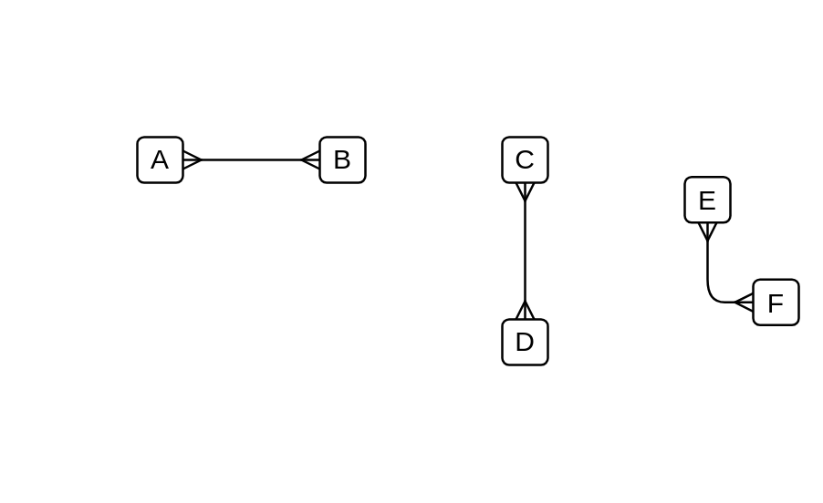
1 to 1
- Preview
- Usage
- Definition
import { Component1To1 } from '@dinghy/diagrams/dependenciesEntityRelation'
<Component1To1/>
{
_style: {
dependency: 'edgeStyle=entityRelationEdgeStyle;fontSize=12;html=1;endArrow=ERmandOne;startArrow=ERmandOne;',
},
}
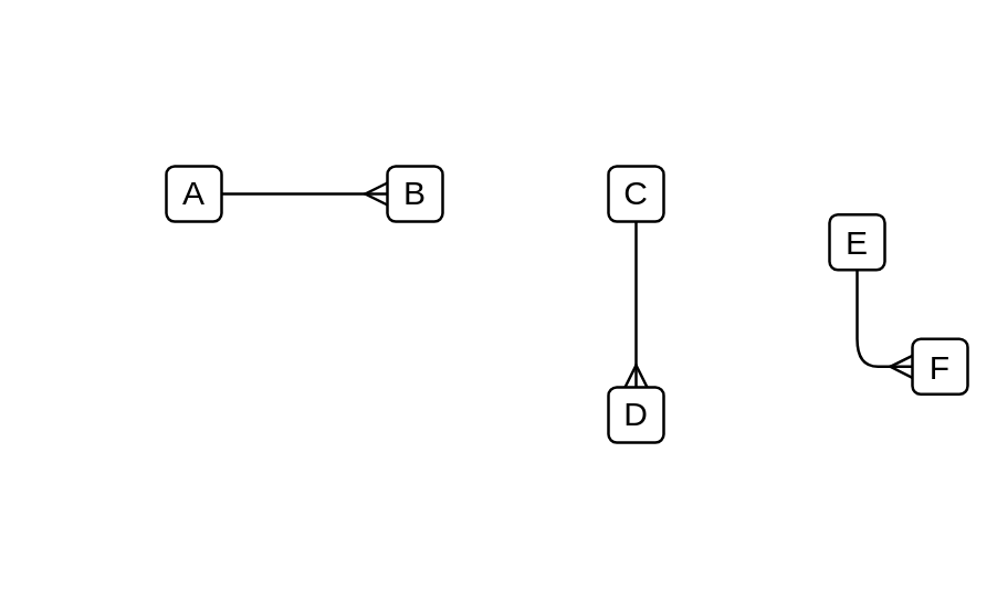
1 to Many
- Preview
- Usage
- Definition

import { Component1ToMany } from '@dinghy/diagrams/dependenciesEntityRelation'
<Component1ToMany/>
{
_style: {
dependency: 'edgeStyle=entityRelationEdgeStyle;fontSize=12;html=1;endArrow=ERoneToMany;',
},
}
Many
- Preview
- Usage
- Definition

import { Many } from '@dinghy/diagrams/dependenciesEntityRelation'
<Many/>
{
_style: {
dependency: 'edgeStyle=entityRelationEdgeStyle;fontSize=12;html=1;endArrow=ERmany;',
},
}
Many Mandatory to Many Mandatory
- Preview
- Usage
- Definition

import { ManyMandatoryToManyMandatory } from '@dinghy/diagrams/dependenciesEntityRelation'
<ManyMandatoryToManyMandatory/>
{
_style: {
dependency: 'edgeStyle=entityRelationEdgeStyle;fontSize=12;html=1;endArrow=ERoneToMany;startArrow=ERoneToMany;',
},
}
Many Optional to Many Mandatory
- Preview
- Usage
- Definition

import { ManyOptionalToManyMandatory } from '@dinghy/diagrams/dependenciesEntityRelation'
<ManyOptionalToManyMandatory/>
{
_style: {
dependency: 'edgeStyle=entityRelationEdgeStyle;fontSize=12;html=1;endArrow=ERoneToMany;startArrow=ERzeroToMany;',
},
}
Many Optional to Many Optional
- Preview
- Usage
- Definition

import { ManyOptionalToManyOptional } from '@dinghy/diagrams/dependenciesEntityRelation'
<ManyOptionalToManyOptional/>
{
_style: {
dependency: 'edgeStyle=entityRelationEdgeStyle;fontSize=12;html=1;endArrow=ERzeroToMany;endFill=1;startArrow=ERzeroToMany;',
},
}
Many to Many
- Preview
- Usage
- Definition

import { ManyToMany } from '@dinghy/diagrams/dependenciesEntityRelation'
<ManyToMany/>
{
_style: {
dependency: 'edgeStyle=entityRelationEdgeStyle;fontSize=12;html=1;endArrow=ERmany;startArrow=ERmany;',
},
}