Ibm Connectors Dependencies
Connector
- Preview
- Usage
- Definition
import { Connector } from '@dinghy/diagrams/dependenciesIbmConnectors'
<Connector/>
{
_style: {
dependency: 'html=1;labelBackgroundColor=#ffffff;jettySize=auto;orthogonalLoop=1;strokeWidth=1;fontSize=14;endArrow=none;endFill=0;',
},
}
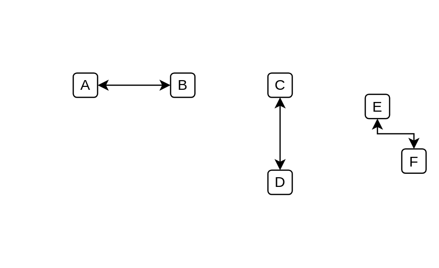
Connector (Double Arrow)
- Preview
- Usage
- Definition

import { ConnectorDoubleArrow } from '@dinghy/diagrams/dependenciesIbmConnectors'
<ConnectorDoubleArrow/>
{
_style: {
dependency: 'html=1;labelBackgroundColor=#ffffff;startArrow=classic;startFill=1;startSize=6;endArrow=classic;endFill=1;endSize=6;jettySize=auto;orthogonalLoop=1;strokeWidth=1;fontSize=14;',
},
}
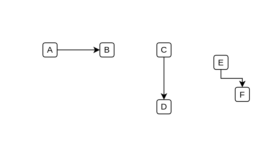
Connector (Single Arrow)
- Preview
- Usage
- Definition

import { ConnectorSingleArrow } from '@dinghy/diagrams/dependenciesIbmConnectors'
<ConnectorSingleArrow/>
{
_style: {
dependency: 'html=1;labelBackgroundColor=#ffffff;endArrow=classic;endFill=1;endSize=6;jettySize=auto;orthogonalLoop=1;strokeWidth=1;fontSize=14;',
},
}
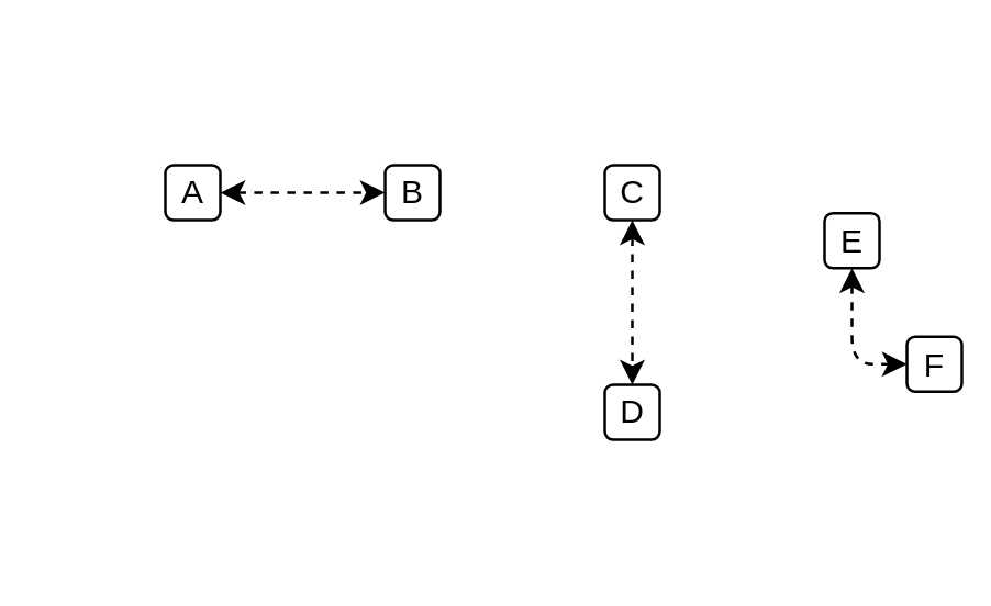
Dashed Connector
- Preview
- Usage
- Definition
import { DashedConnector } from '@dinghy/diagrams/dependenciesIbmConnectors'
<DashedConnector/>
{
_style: {
dependency: 'html=1;labelBackgroundColor=#ffffff;endArrow=none;endFill=0;jettySize=auto;orthogonalLoop=1;strokeWidth=1;dashed=1;fontSize=14;',
},
}
Dashed Connector (Double Arrow)
- Preview
- Usage
- Definition

import { DashedConnectorDoubleArrow } from '@dinghy/diagrams/dependenciesIbmConnectors'
<DashedConnectorDoubleArrow/>
{
_style: {
dependency: 'html=1;labelBackgroundColor=#ffffff;startArrow=classic;startFill=1;startSize=6;endArrow=classic;endFill=1;endSize=6;jettySize=auto;orthogonalLoop=1;strokeWidth=1;dashed=1;fontSize=14;',
},
}
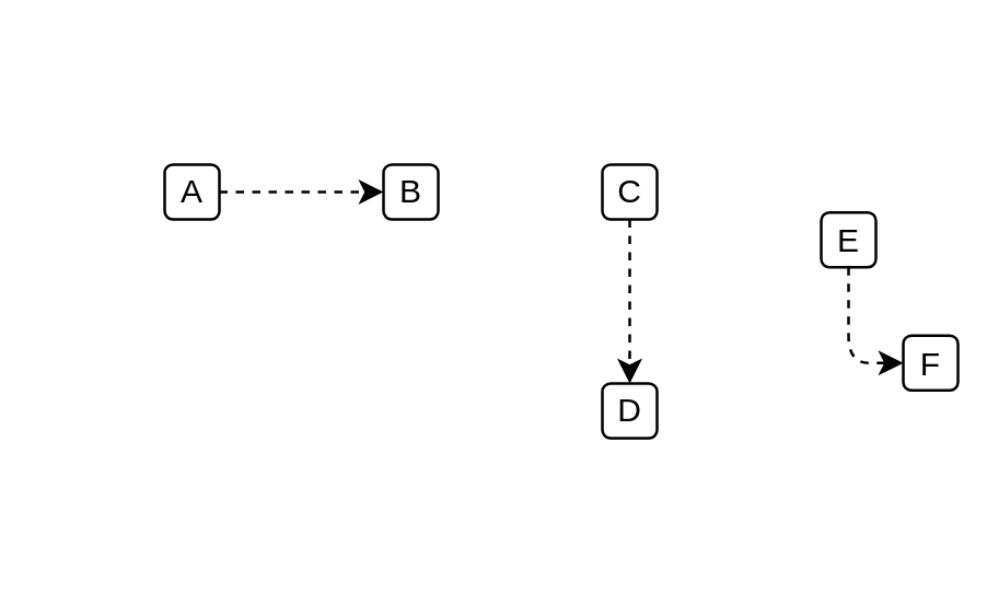
Dashed Connector (Single Arrow)
- Preview
- Usage
- Definition

import { DashedConnectorSingleArrow } from '@dinghy/diagrams/dependenciesIbmConnectors'
<DashedConnectorSingleArrow/>
{
_style: {
dependency: 'html=1;labelBackgroundColor=#ffffff;startArrow=none;startFill=0;startSize=6;endArrow=classic;endFill=1;endSize=6;jettySize=auto;orthogonalLoop=1;strokeWidth=1;dashed=1;fontSize=14;',
},
}
Elbow Connector
- Preview
- Usage
- Definition
import { ElbowConnector } from '@dinghy/diagrams/dependenciesIbmConnectors'
<ElbowConnector/>
{
_style: {
dependency: 'edgeStyle=elbowEdgeStyle;rounded=0;elbow=vertical;html=1;labelBackgroundColor=#ffffff;jettySize=auto;orthogonalLoop=1;strokeWidth=1;fontSize=14;endArrow=none;endFill=0;',
},
}
Elbow Connector (Double Arrow)
- Preview
- Usage
- Definition

import { ElbowConnectorDoubleArrow } from '@dinghy/diagrams/dependenciesIbmConnectors'
<ElbowConnectorDoubleArrow/>
{
_style: {
dependency: 'edgeStyle=elbowEdgeStyle;rounded=0;elbow=vertical;html=1;labelBackgroundColor=#ffffff;startArrow=classic;startFill=1;startSize=6;endArrow=classic;endFill=1;endSize=6;jettySize=auto;orthogonalLoop=1;strokeWidth=1;fontSize=14;',
},
}
Elbow Connector (Single Arrow)
- Preview
- Usage
- Definition

import { ElbowConnectorSingleArrow } from '@dinghy/diagrams/dependenciesIbmConnectors'
<ElbowConnectorSingleArrow/>
{
_style: {
dependency: 'edgeStyle=elbowEdgeStyle;rounded=0;elbow=vertical;html=1;labelBackgroundColor=#ffffff;endArrow=classic;endFill=1;endSize=6;jettySize=auto;orthogonalLoop=1;strokeWidth=1;fontSize=14;',
},
}