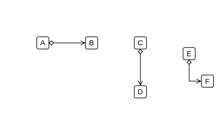
Ibm Connectors Dependencies
Aggregation
- Preview
- Usage
- Definition

import { Aggregation } from '@dinghy/diagrams/dependenciesIbmCloudConnectors'
<Aggregation/>
{
_style: {
dependency: 'html=1;labelBackgroundColor=#ffffff;jettySize=auto;orthogonalLoop=1;fontSize=14;rounded=0;jumpStyle=gap;edgeStyle=orthogonalEdgeStyle;startArrow=diamond;startFill=0;endArrow=open;strokeWidth=1;',
},
}
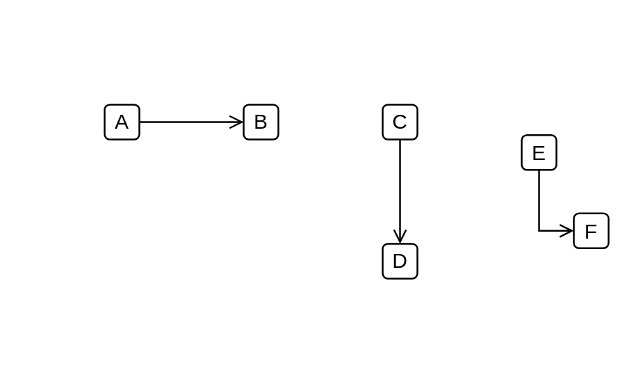
Association
- Preview
- Usage
- Definition

import { Association } from '@dinghy/diagrams/dependenciesIbmCloudConnectors'
<Association/>
{
_style: {
dependency: 'html=1;labelBackgroundColor=#ffffff;jettySize=auto;orthogonalLoop=1;fontSize=14;rounded=0;jumpStyle=gap;edgeStyle=orthogonalEdgeStyle;startArrow=none;endArrow=open;strokeWidth=1;',
},
}
Composition
- Preview
- Usage
- Definition

import { Composition } from '@dinghy/diagrams/dependenciesIbmCloudConnectors'
<Composition/>
{
_style: {
dependency: 'html=1;labelBackgroundColor=#ffffff;jettySize=auto;orthogonalLoop=1;fontSize=14;rounded=0;jumpStyle=gap;edgeStyle=orthogonalEdgeStyle;startArrow=diamond;startFill=1;endArrow=open;strokeWidth=1;',
},
}
Connector
- Preview
- Usage
- Definition
import { Connector } from '@dinghy/diagrams/dependenciesIbmCloudConnectors'
<Connector/>
{
_style: {
dependency: 'html=1;labelBackgroundColor=#ffffff;jettySize=auto;orthogonalLoop=1;fontSize=14;rounded=0;jumpStyle=gap;edgeStyle=orthogonalEdgeStyle;startArrow=none;endArrow=none;strokeWidth=2;endFill=0;',
},
}
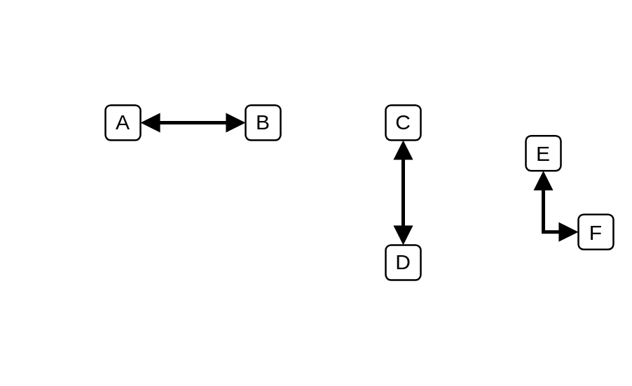
Connector (Arrow, Arrow)
- Preview
- Usage
- Definition

import { ConnectorArrowArrow } from '@dinghy/diagrams/dependenciesIbmCloudConnectors'
<ConnectorArrowArrow/>
{
_style: {
dependency: 'html=1;labelBackgroundColor=#ffffff;jettySize=auto;orthogonalLoop=1;fontSize=14;rounded=0;jumpStyle=gap;edgeStyle=orthogonalEdgeStyle;startArrow=block;endArrow=block;strokeWidth=2;startFill=1;endFill=1;',
},
}
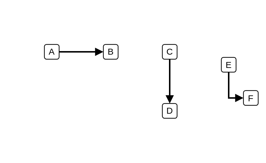
Connector (Arrow)
- Preview
- Usage
- Definition

import { ConnectorArrow } from '@dinghy/diagrams/dependenciesIbmCloudConnectors'
<ConnectorArrow/>
{
_style: {
dependency: 'html=1;labelBackgroundColor=#ffffff;jettySize=auto;orthogonalLoop=1;fontSize=14;rounded=0;jumpStyle=gap;edgeStyle=orthogonalEdgeStyle;startArrow=none;endArrow=block;strokeWidth=2;endFill=1;',
},
}
Connector (Circle, Arrow)
- Preview
- Usage
- Definition

import { ConnectorCircleArrow } from '@dinghy/diagrams/dependenciesIbmCloudConnectors'
<ConnectorCircleArrow/>
{
_style: {
dependency: 'html=1;labelBackgroundColor=#ffffff;jettySize=auto;orthogonalLoop=1;fontSize=14;rounded=0;jumpStyle=gap;edgeStyle=orthogonalEdgeStyle;startArrow=oval;endArrow=block;strokeWidth=2;startFill=1;endFill=1;sourcePerimeterSpacing=3;targetPerimeterSpacing=3;',
},
}
Connector (Circle, Circle)
- Preview
- Usage
- Definition

import { ConnectorCircleCircle } from '@dinghy/diagrams/dependenciesIbmCloudConnectors'
<ConnectorCircleCircle/>
{
_style: {
dependency: 'html=1;labelBackgroundColor=#ffffff;jettySize=auto;orthogonalLoop=1;fontSize=14;rounded=0;jumpStyle=gap;edgeStyle=orthogonalEdgeStyle;startArrow=oval;endArrow=oval;strokeWidth=2;startFill=1;endFill=1;sourcePerimeterSpacing=3;targetPerimeterSpacing=3;',
},
}
Dependency Relationship
- Preview
- Usage
- Definition

import { DependencyRelationship } from '@dinghy/diagrams/dependenciesIbmCloudConnectors'
<DependencyRelationship/>
{
_style: {
dependency: 'html=1;labelBackgroundColor=#ffffff;jettySize=auto;orthogonalLoop=1;fontSize=14;rounded=0;jumpStyle=gap;edgeStyle=orthogonalEdgeStyle;startArrow=none;endArrow=open;dashed=1;strokeWidth=1;',
},
}
Extends
- Preview
- Usage
- Definition

import { Extends } from '@dinghy/diagrams/dependenciesIbmCloudConnectors'
<Extends/>
{
_style: {
dependency: 'html=1;labelBackgroundColor=#ffffff;jettySize=auto;orthogonalLoop=1;fontSize=14;rounded=0;jumpStyle=gap;edgeStyle=orthogonalEdgeStyle;startArrow=none;endArrow=block;endFill=0;strokeWidth=1;',
},
}
Implementation
- Preview
- Usage
- Definition

import { Implementation } from '@dinghy/diagrams/dependenciesIbmCloudConnectors'
<Implementation/>
{
_style: {
dependency: 'html=1;labelBackgroundColor=#ffffff;jettySize=auto;orthogonalLoop=1;fontSize=14;rounded=0;jumpStyle=gap;edgeStyle=orthogonalEdgeStyle;startArrow=none;endArrow=block;endFill=0;dashed=1;strokeWidth=1;',
},
}
Logical Connector
- Preview
- Usage
- Definition
import { LogicalConnector } from '@dinghy/diagrams/dependenciesIbmCloudConnectors'
<LogicalConnector/>
{
_style: {
dependency: 'html=1;labelBackgroundColor=#ffffff;jettySize=auto;orthogonalLoop=1;fontSize=14;rounded=0;jumpStyle=gap;edgeStyle=orthogonalEdgeStyle;startArrow=none;endArrow=none;strokeWidth=2;dashed=1;',
},
}
Logical Connector (Arrow, Arrow)
- Preview
- Usage
- Definition

import { LogicalConnectorArrowArrow } from '@dinghy/diagrams/dependenciesIbmCloudConnectors'
<LogicalConnectorArrowArrow/>
{
_style: {
dependency: 'html=1;labelBackgroundColor=#ffffff;jettySize=auto;orthogonalLoop=1;fontSize=14;rounded=0;jumpStyle=gap;edgeStyle=orthogonalEdgeStyle;startArrow=block;endArrow=block;startFill=1;endFill=1;strokeWidth=2;dashed=1;',
},
}
Logical Connector (Arrow)
- Preview
- Usage
- Definition

import { LogicalConnectorArrow } from '@dinghy/diagrams/dependenciesIbmCloudConnectors'
<LogicalConnectorArrow/>
{
_style: {
dependency: 'html=1;labelBackgroundColor=#ffffff;jettySize=auto;orthogonalLoop=1;fontSize=14;rounded=0;jumpStyle=gap;edgeStyle=orthogonalEdgeStyle;startArrow=none;endArrow=block;endFill=1;strokeWidth=2;dashed=1;',
},
}
Logical Connector (Circle, Arrow)
- Preview
- Usage
- Definition

import { LogicalConnectorCircleArrow } from '@dinghy/diagrams/dependenciesIbmCloudConnectors'
<LogicalConnectorCircleArrow/>
{
_style: {
dependency: 'html=1;labelBackgroundColor=#ffffff;jettySize=auto;orthogonalLoop=1;fontSize=14;rounded=0;jumpStyle=gap;edgeStyle=orthogonalEdgeStyle;startArrow=oval;endArrow=block;startFill=1;endFill=1;strokeWidth=2;dashed=1;sourcePerimeterSpacing=3;targetPerimeterSpacing=3;',
},
}
Logical Connector (Circle, Circle)
- Preview
- Usage
- Definition

import { LogicalConnectorCircleCircle } from '@dinghy/diagrams/dependenciesIbmCloudConnectors'
<LogicalConnectorCircleCircle/>
{
_style: {
dependency: 'html=1;labelBackgroundColor=#ffffff;jettySize=auto;orthogonalLoop=1;fontSize=14;rounded=0;jumpStyle=gap;edgeStyle=orthogonalEdgeStyle;startArrow=oval;endArrow=oval;startFill=1;endFill=1;strokeWidth=2;dashed=1;sourcePerimeterSpacing=3;targetPerimeterSpacing=3;',
},
}
Physical Connector
- Preview
- Usage
- Definition
import { PhysicalConnector } from '@dinghy/diagrams/dependenciesIbmCloudConnectors'
<PhysicalConnector/>
{
_style: {
dependency: 'html=1;labelBackgroundColor=#ffffff;jettySize=auto;orthogonalLoop=1;fontSize=14;rounded=0;jumpStyle=gap;edgeStyle=orthogonalEdgeStyle;shape=link;startArrow=none;endArrow=none;strokeWidth=2;',
},
}
Private Connector (Circle, Arrow)
- Preview
- Usage
- Definition

import { PrivateConnectorCircleArrow } from '@dinghy/diagrams/dependenciesIbmCloudConnectors'
<PrivateConnectorCircleArrow/>
{
_style: {
dependency: 'html=1;labelBackgroundColor=#ffffff;jettySize=auto;orthogonalLoop=1;fontSize=14;rounded=0;jumpStyle=gap;edgeStyle=orthogonalEdgeStyle;startArrow=oval;endArrow=block;strokeWidth=2;startFill=1;endFill=1;strokeColor=#198038;',
},
}
Private Connector (Circle, Circle)
- Preview
- Usage
- Definition

import { PrivateConnectorCircleCircle } from '@dinghy/diagrams/dependenciesIbmCloudConnectors'
<PrivateConnectorCircleCircle/>
{
_style: {
dependency: 'html=1;labelBackgroundColor=#ffffff;jettySize=auto;orthogonalLoop=1;fontSize=14;rounded=0;jumpStyle=gap;edgeStyle=orthogonalEdgeStyle;startArrow=oval;endArrow=oval;strokeWidth=2;startFill=1;endFill=1;sourcePerimeterSpacing=3;targetPerimeterSpacing=3;strokeColor=#198038;',
},
}
Public Connector (Circle, Arrow)
- Preview
- Usage
- Definition

import { PublicConnectorCircleArrow } from '@dinghy/diagrams/dependenciesIbmCloudConnectors'
<PublicConnectorCircleArrow/>
{
_style: {
dependency: 'html=1;labelBackgroundColor=#ffffff;jettySize=auto;orthogonalLoop=1;fontSize=14;rounded=0;jumpStyle=gap;edgeStyle=orthogonalEdgeStyle;startArrow=oval;endArrow=block;strokeWidth=2;startFill=1;endFill=1;strokeColor=#0F62F3;',
},
}
Public Connector (Circle, Circle)
- Preview
- Usage
- Definition

import { PublicConnectorCircleCircle } from '@dinghy/diagrams/dependenciesIbmCloudConnectors'
<PublicConnectorCircleCircle/>
{
_style: {
dependency: 'html=1;labelBackgroundColor=#ffffff;jettySize=auto;orthogonalLoop=1;fontSize=14;rounded=0;jumpStyle=gap;edgeStyle=orthogonalEdgeStyle;startArrow=oval;endArrow=oval;strokeWidth=2;startFill=1;endFill=1;sourcePerimeterSpacing=3;targetPerimeterSpacing=3;strokeColor=#0F62F3;',
},
}
Tunnel Connector
- Preview
- Usage
- Definition
import { TunnelConnector } from '@dinghy/diagrams/dependenciesIbmCloudConnectors'
<TunnelConnector/>
{
_style: {
dependency: 'html=1;labelBackgroundColor=#ffffff;jettySize=auto;orthogonalLoop=1;fontSize=14;rounded=0;jumpStyle=gap;edgeStyle=orthogonalEdgeStyle;shape=flexArrow;startArrow=none;endArrow=none;fillColor=#FFCCCC;strokeColor=none;',
},
}