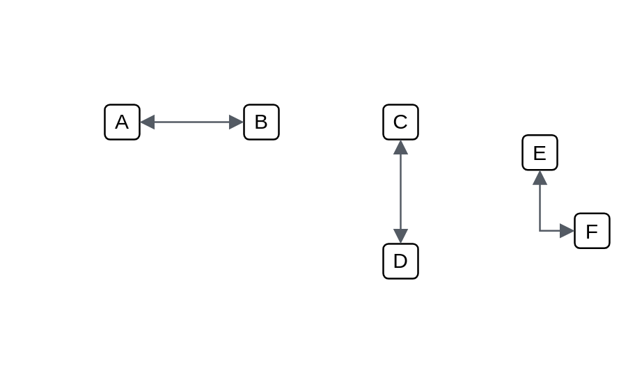
Aws Arrows Dependencies
Default (double)
- Preview
- Usage
- Definition

import { DefaultDouble } from '@dinghy/diagrams/dependenciesAwsArrows'
<DefaultDouble/>
{
_style: {
dependency: 'edgeStyle=orthogonalEdgeStyle;html=1;endArrow=block;elbow=vertical;startArrow=block;startFill=1;endFill=1;strokeColor=#545B64;rounded=0;',
},
}
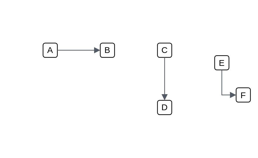
Default (left)
- Preview
- Usage
- Definition

import { DefaultLeft } from '@dinghy/diagrams/dependenciesAwsArrows'
<DefaultLeft/>
{
_style: {
dependency: 'edgeStyle=orthogonalEdgeStyle;html=1;endArrow=block;elbow=vertical;startArrow=none;endFill=1;strokeColor=#545B64;rounded=0;',
},
}
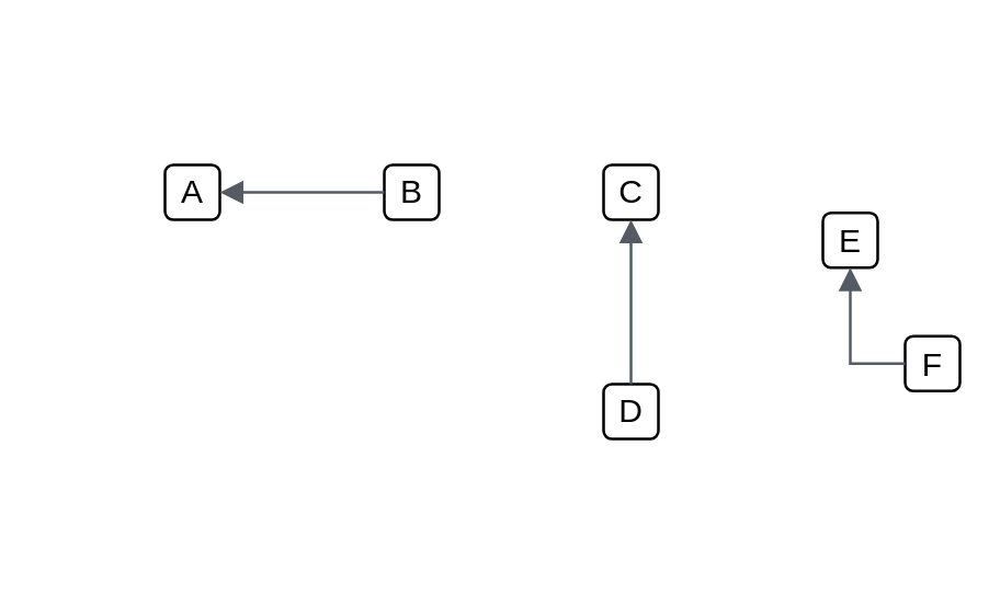
Default (left)111
- Preview
- Usage
- Definition

import { DefaultLeft111 } from '@dinghy/diagrams/dependenciesAwsArrows'
<DefaultLeft111/>
{
_style: {
dependency: 'edgeStyle=orthogonalEdgeStyle;html=1;endArrow=none;elbow=vertical;startArrow=block;startFill=1;strokeColor=#545B64;rounded=0;',
},
}
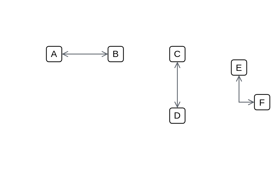
Open (double)
- Preview
- Usage
- Definition

import { OpenDouble } from '@dinghy/diagrams/dependenciesAwsArrows'
<OpenDouble/>
{
_style: {
dependency: 'edgeStyle=orthogonalEdgeStyle;htmDepartman barl=1;endArrow=open;elbow=vertical;startArrow=open;startFill=0;endFill=0;strokeColor=#545B64;rounded=0;',
},
}
Open (left)
- Preview
- Usage
- Definition

import { OpenLeft } from '@dinghy/diagrams/dependenciesAwsArrows'
<OpenLeft/>
{
_style: {
dependency: 'edgeStyle=orthogonalEdgeStyle;html=1;endArrow=none;elbow=vertical;startArrow=open;startFill=0;strokeColor=#545B64;rounded=0;',
},
}
Open (left) 2
- Preview
- Usage
- Definition

import { OpenLeft2 } from '@dinghy/diagrams/dependenciesAwsArrows'
<OpenLeft2/>
{
_style: {
dependency: 'edgeStyle=orthogonalEdgeStyle;html=1;endArrow=open;elbow=vertical;startArrow=none;endFill=0;strokeColor=#545B64;rounded=0;',
},
}
Open (thin, double)
- Preview
- Usage
- Definition

import { OpenThinDouble } from '@dinghy/diagrams/dependenciesAwsArrows'
<OpenThinDouble/>
{
_style: {
dependency: 'edgeStyle=orthogonalEdgeStyle;html=1;endArrow=openThin;elbow=vertical;startArrow=openThin;startFill=0;endFill=0;strokeColor=#545B64;rounded=0;',
},
}
Open (thin, left)
- Preview
- Usage
- Definition

import { OpenThinLeft } from '@dinghy/diagrams/dependenciesAwsArrows'
<OpenThinLeft/>
{
_style: {
dependency: 'edgeStyle=orthogonalEdgeStyle;html=1;endArrow=none;elbow=vertical;startArrow=openThin;startFill=0;strokeColor=#545B64;rounded=0;',
},
}
Open (thin, left) 2
- Preview
- Usage
- Definition

import { OpenThinLeft2 } from '@dinghy/diagrams/dependenciesAwsArrows'
<OpenThinLeft2/>
{
_style: {
dependency: 'edgeStyle=orthogonalEdgeStyle;html=1;endArrow=openThin;elbow=vertical;startArrow=none;endFill=0;strokeColor=#545B64;rounded=0;',
},
}