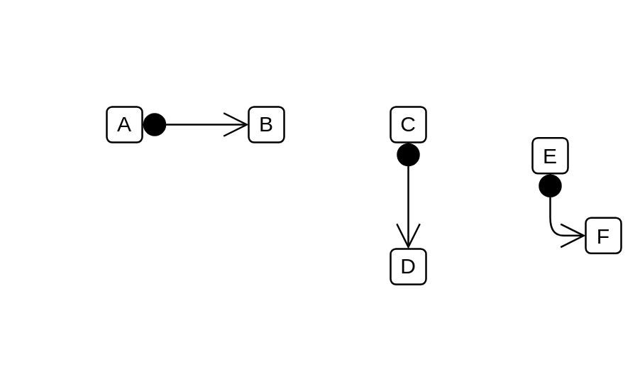
Sysml Interactions Dependencies
Found Messageâ
- Preview
- Usage
- Definition

import { FoundMessage } from '@dinghy/diagrams/dependenciesSysmlInteractions'
<FoundMessage/>
{
_style: {
dependency: 'edgeStyle=none;html=1;endArrow=open;endSize=12;verticalAlign=bottom;startArrow=sysMLFound;startSize=12;',
},
}
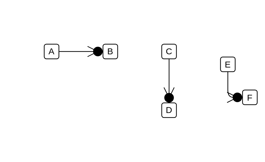
General Orderingâ
- Preview
- Usage
- Definition
import { GeneralOrdering } from '@dinghy/diagrams/dependenciesSysmlInteractions'
<GeneralOrdering/>
{
_style: {
dependency: 'edgeStyle=none;html=1;endArrow=none;verticalAlign=bottom;dashed=1;strokeWidth=2;',
},
}
Lost Messageâ
- Preview
- Usage
- Definition

import { LostMessage } from '@dinghy/diagrams/dependenciesSysmlInteractions'
<LostMessage/>
{
_style: {
dependency: 'edgeStyle=none;html=1;endArrow=sysMLLost;endSize=12;verticalAlign=bottom;',
},
}