BPMN 2.0 General Dependencies
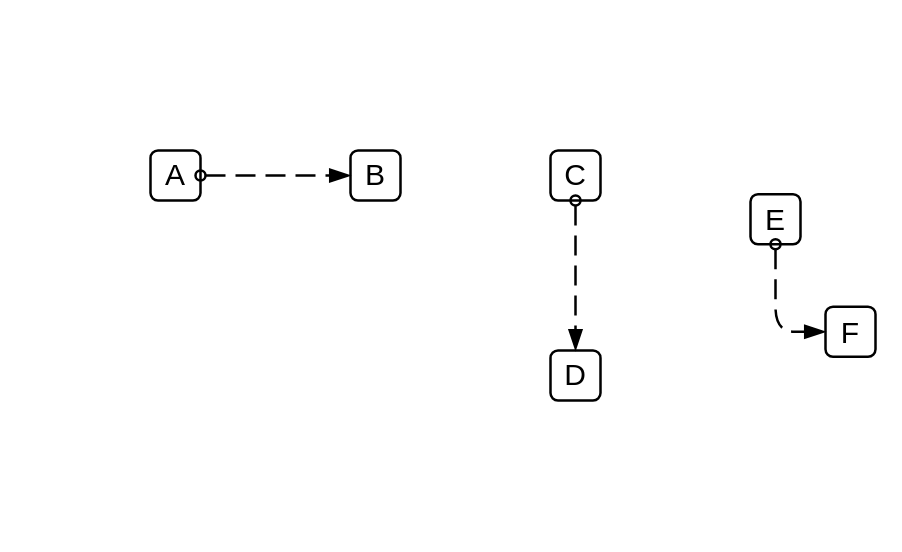
Association
- Preview
- Usage
- Definition
import { Association } from '@dinghy/diagrams/dependenciesBpmn2General'
<Association/>
{
_style: {
dependency: 'edgeStyle=elbowEdgeStyle;fontSize=12;html=1;endFill=0;startFill=0;endSize=6;startSize=6;dashed=1;dashPattern=1 4;endArrow=none;startArrow=none;',
},
}
Bi-Directional Association
- Preview
- Usage
- Definition

import { BiDirectionalAssociation } from '@dinghy/diagrams/dependenciesBpmn2General'
<BiDirectionalAssociation/>
{
_style: {
dependency: 'edgeStyle=elbowEdgeStyle;fontSize=12;html=1;endFill=0;startFill=0;endSize=6;startSize=6;dashed=1;dashPattern=1 4;endArrow=openThin;startArrow=openThin;',
},
}
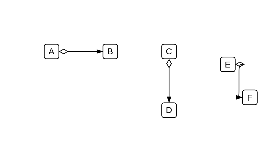
Conditional Sequence Flow
- Preview
- Usage
- Definition

import { ConditionalSequenceFlow } from '@dinghy/diagrams/dependenciesBpmn2General'
<ConditionalSequenceFlow/>
{
_style: {
dependency: 'edgeStyle=elbowEdgeStyle;fontSize=12;html=1;endArrow=blockThin;endFill=1;startArrow=diamondThin;startFill=0;endSize=6;startSize=10;',
},
}
Conversation Link
- Preview
- Usage
- Definition
import { ConversationLink } from '@dinghy/diagrams/dependenciesBpmn2General'
<ConversationLink/>
{
_style: {
dependency: 'edgeStyle=elbowEdgeStyle;fontSize=12;html=1;shape=link;',
},
}
Default Sequence Flow
- Preview
- Usage
- Definition

import { DefaultSequenceFlow } from '@dinghy/diagrams/dependenciesBpmn2General'
<DefaultSequenceFlow/>
{
_style: {
dependency: 'edgeStyle=elbowEdgeStyle;fontSize=12;html=1;endArrow=blockThin;endFill=1;startArrow=dash;startFill=0;endSize=6;startSize=6;',
},
}
Directional / Directed Data Association
- Preview
- Usage
- Definition

import { DirectionalDirectedDataAssociation } from '@dinghy/diagrams/dependenciesBpmn2General'
<DirectionalDirectedDataAssociation/>
{
_style: {
dependency: 'edgeStyle=elbowEdgeStyle;fontSize=12;html=1;endFill=0;startFill=0;endSize=6;startSize=6;dashed=1;dashPattern=1 4;endArrow=openThin;startArrow=none;',
},
}
Message Flow
- Preview
- Usage
- Definition

import { MessageFlow } from '@dinghy/diagrams/dependenciesBpmn2General'
<MessageFlow/>
{
_style: {
dependency: 'dashed=1;dashPattern=8 4;endArrow=blockThin;endFill=1;startArrow=oval;startFill=0;endSize=6;startSize=4;html=1;',
},
}
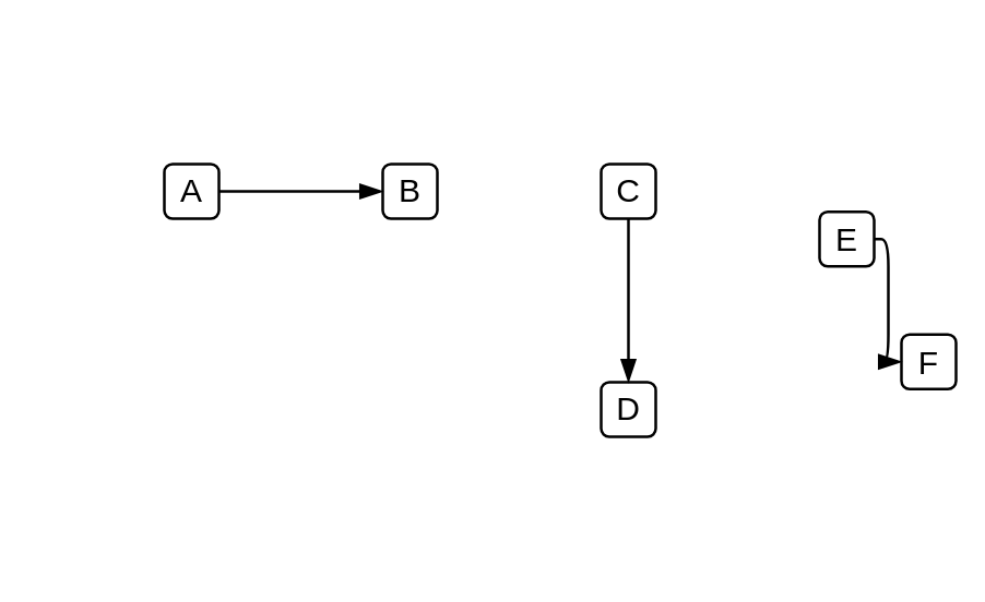
Sequence Flow
- Preview
- Usage
- Definition

import { SequenceFlow } from '@dinghy/diagrams/dependenciesBpmn2General'
<SequenceFlow/>
{
_style: {
dependency: 'edgeStyle=elbowEdgeStyle;fontSize=12;html=1;endArrow=blockThin;endFill=1;',
},
}