Standard General Dependencies
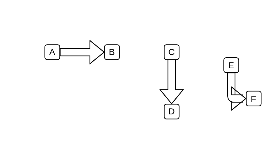
Arrow
- Preview
- Usage
- Definition

import { Arrow } from '@dinghy/diagrams/dependenciesGeneral'
<Arrow/>
{
_style: {
dependency: 'shape=flexArrow;endArrow=classic;html=1;',
},
}
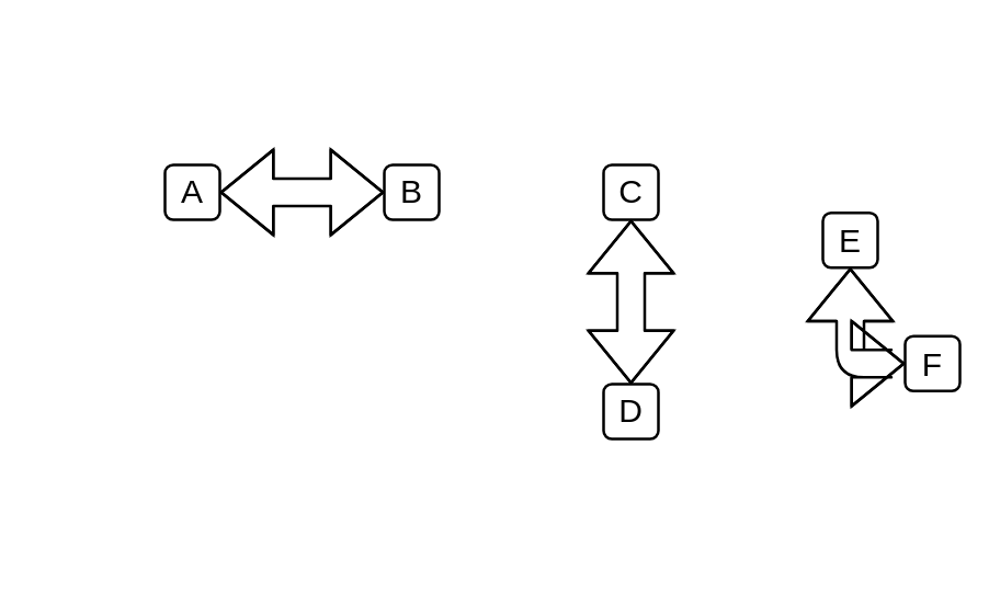
Bidirectional Arrow
- Preview
- Usage
- Definition

import { BidirectionalArrow } from '@dinghy/diagrams/dependenciesGeneral'
<BidirectionalArrow/>
{
_style: {
dependency: 'shape=flexArrow;endArrow=classic;startArrow=classic;html=1;',
},
}
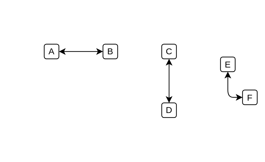
Bidirectional Connector
- Preview
- Usage
- Definition

import { BidirectionalConnector } from '@dinghy/diagrams/dependenciesGeneral'
<BidirectionalConnector/>
{
_style: {
dependency: 'endArrow=classic;startArrow=classic;html=1;',
},
}
Dashed Line
- Preview
- Usage
- Definition
import { DashedLine } from '@dinghy/diagrams/dependenciesGeneral'
<DashedLine/>
{
_style: {
dependency: 'endArrow=none;dashed=1;html=1;',
},
}
Directional Connector
- Preview
- Usage
- Definition

import { DirectionalConnector } from '@dinghy/diagrams/dependenciesGeneral'
<DirectionalConnector/>
{
_style: {
dependency: 'endArrow=classic;html=1;',
},
}
Dotted Line
- Preview
- Usage
- Definition
import { DottedLine } from '@dinghy/diagrams/dependenciesGeneral'
<DottedLine/>
{
_style: {
dependency: 'endArrow=none;dashed=1;html=1;dashPattern=1 3;strokeWidth=2;',
},
}
Line
- Preview
- Usage
- Definition
import { Line } from '@dinghy/diagrams/dependenciesGeneral'
<Line/>
{
_style: {
dependency: 'endArrow=none;html=1;',
},
}
Link
- Preview
- Usage
- Definition
import { Link } from '@dinghy/diagrams/dependenciesGeneral'
<Link/>
{
_style: {
dependency: 'shape=link;html=1;',
},
}